
摘要
无卤阻燃材料是未来阻燃领域发展大趋势,研究开发适用于工程塑料的耐热、固体粉末状、高效阻燃性能的无卤阻燃剂是当前阻燃领域研究的热点。针对国内外在无卤阻燃这个领域刚刚起步的现实和目前存在的局限,立足于解决工程塑料无卤阻燃的实际问题,本文采取来源广泛的原材料,设计、合成出了具有优良热稳定性、高磷含量、分子量较大的高效无卤磷系阻燃剂。
1. 本论文首先以三氯氧磷和季戊四醇为原料(摩尔比为1/1)合成以磷为桥头的双环化合物醇——1-氧代 -4-羟甲基 -1- 磷杂- 2,6,7 –三氧杂双环【2.2.2】辛烷{PEPA},以三氯氧磷、PEPA和间苯二酚为原料合成了间苯二酚双{二 (1-氧代 -4-羟甲基 -1- 磷杂- 2,6,7 –三氧杂双环【2.2.2】辛烷 -4 -亚甲基)磷酸酯}(RTP),再以双酚A、双酚S、间苯二胺和新戊二醇分别代替间苯二酚合成了四个RTP的衍生物BATP、BSTP、PATP和NTP。通过核磁共振氢谱、红外广谱、元素分析等方法证明了合成的RTP、 BATP、BSTP、PATP、 NTP与设计的化合物结构相符。所合成的五个化合物均为粉末状固体,未见有文献报道;其中RTP的磷含量高达20.24%,其他几个阻燃剂的磷含量也都在17%以上 。
2. 热分析结果表明,阻燃剂RTP、 BATP、BSTP都具有非常好的热稳定性,5%分解温度都在350℃以上,同时也具有非常高的成炭性,如阻燃剂RTP,600℃时残炭高达57.6%;热分解温度与工程塑料的分解温度重合。高磷含量和高成炭性能有效阻隔物质和热量的传递。
3. 针对合成收率低的问题,我们改进了产品的合成工艺。对热稳定性非常好的RTP、 BATP、BSTP采用一锅法的合成路线;核磁共振,红外表征了目标化合物。所得的产品虽然引进了少许杂质,但热稳定性能与纯品相比基本相同。其合成方法是间苯二酚或双酚A或双酚S与过量的三氯氧磷反应,减压蒸出去未反应的三氯氧磷,然后催化剂作用下再与PEPA反应得到目标化合物。采用一锅法能大幅提高收率,三个化合物的收率都在80%以上,该工艺具有工业化前景。
4. 分别采用RTP、 BATP、BSTP阻燃剂制备了阻燃环氧树脂,经UL 94评价证明:三个化合物对环氧树脂具有明显的阻燃效果,添加14%(w)阻燃剂能使阻燃环氧树脂达到V – 1级。
5. 对阻燃材料在不同温度下进行红外和XPS测试。发现200℃时,环氧树脂基本没有变化,快速降解的过程主要发生在350℃~400℃ , 500℃时环氧树脂骨架几乎已经被完全破坏;热降解过程经过分解、酯交换和磷酰等杂化反应形成的炭层能有效阻隔物质传递的能力,证明阻燃剂在环氧树脂受热过程中主要是在凝聚相发挥阻燃作用。
关键词:阻燃剂;阻燃环氧树脂;阻燃机理;热重分析
第一章 阻燃科学概述及选题依据
材料是现代和社会发展的支柱。高分子材料具有许多其他材料不可比拟的性能,在尖端技术、国防建设和国民经济各个领域以成为不可缺少的材料。然而,大多数高分子化合物属易燃、可燃材料,一旦燃烧,燃烧速度快,不易熄灭,有些还会产生浓烟和有毒气体,污染环境,危及人民的生命安全,造成财产损失。近几十年来世界上发生的火灾,相当大的以部分与高分子材料燃烧有关。因此,如何提高高分子材料的抗燃性已成为全世界关注的问题。
使用阻燃材料预防火灾和减缓火势的蔓延扩大,已成为人们的共识。阻燃技术和阻燃材料发展迅速。随着国民经济快速发展,我国阻燃技术和阻燃材料制备方面亦取得了前所未有的大发展。
1.1 阻燃剂和阻燃材料
1.1.1 阻燃剂
阻燃剂是用以提高材料的抗燃性,即能阻止材料被引燃以及抑制火焰传播的助剂。它可以使材料具有难燃性、自熄性和消烟性,从而提高产品的安全性能,可防止引发火灾和抑制小火发展成灾难性大火的危险。阻燃剂广泛应用于各种高分子材料,已经成为产量仅次于增塑剂的第二大助剂,全球阻燃剂消费量已超过100万吨。
理想的阻燃剂应该是阻燃效率高,添加量少,无毒无烟,对环境友好,热稳定性好,便于加工,对被阻燃物各项性能影响小,不渗出,便于回收,使用方便,使用面广,还要加个便宜。同时具有上面这些要求的阻燃剂几乎是不存在的,只能是满足基本要求的前提下取得最佳的综合平衡。
1.1.2 阻燃剂的分类
阻燃剂品种繁多,性能各异。按化学组分来分类,阻燃剂可分为有机阻燃剂和无机阻燃剂两大类。按阻燃剂与基材的关系不同可分为添加型和反应型:反应型阻燃剂是在被阻燃基材制造过程中加入的,并成为高聚物的结构单元而赋予基材以阻燃性。此法获得的阻燃性具有相对永久性,毒性低,对基材性能影响小,但工艺复杂,成本高,所以应用较少。添加型阻燃剂是在被阻燃基材加工过程中加入的,加工工艺简单,能满足使用要求的阻燃剂品种多,目前应用广泛。另外按照阻燃元素的不同,阻燃剂可分为卤系、有机磷系及卤 – 磷系、磷 – 氮系、锑系、铝- 镁系、无机磷系、硼系和钼系等,前三种属于有机阻燃剂,后几类属于无机阻燃剂。目前在工业上用量最大的是卤化物、磷(膦)酸酯(包括含卤衍生物)、氧化锑、氢氧化铝及硼酸锌等。有机磷阻燃剂是与卤系阻燃剂并重的一类阻燃剂,它品种多,用途广泛。卤系阻燃剂存在很多缺点,如抗紫外线稳定性差,燃烧时生成较多的烟/腐蚀性气体和有毒气体。特别是自1986年起,发现嗅二苯醚及其阻燃的高聚物的热裂解和燃烧产物中含有致癌物四溴代双苯并二恶烷及四溴代苯并呋喃后,卤系阻燃剂的使用受到了限制,使得非卤系阻燃剂特别是有机磷阻燃剂的研究和开发变得更加重要,虽然有机磷化合物有一定的毒性,但它们的致畸性却不高,其分解产物及其阻燃的高聚物的热裂解和燃烧产物中腐蚀性、有毒物液很少。有机磷阻燃剂之所以成为阻燃剂研究中的热点,除了上面的因素外,还因为有机磷阻燃剂除了具有阻燃性能之外,很多品种还同时具有增塑、热稳定等作用。
目前,有机磷阻燃剂的研究开发方兴未艾,每年报道很多,综合看来主要集中在:磷酸酯、膦酸酯、氧化膦、磷杂环化合物、缩聚磷酸酯和有机磷酸盐等方面,近年来,还出现了一些新的类型如膨胀型阻燃剂、硅系阻燃剂及本质阻燃高聚物等。这里我们着重介绍一下磷酸酯阻燃剂和膨胀型阻燃剂。
1.1.2.1 磷酸酯阻燃剂
磷酸酯阻燃剂用作阻燃剂的磷酸酯很多,主要用于聚苯乙烯(PS),聚氨酯(PU)泡沫塑料,聚酯(PET)聚碳酸酯(PC)和液晶等高分子材料的阻燃。包括只含磷的磷酸酯阻燃剂,含氮磷酸酯阻燃剂和含卤磷酸酯阻燃剂等。
(1) 只含磷的磷酸酯
阻燃剂大多数为酚类的磷酸酯,也有少量的烷基磷酸酯。
多篇专利报道结构如下的化合物的合成及初步应用:
其中最典型的是已经商品化的间苯二酚双(二苯基磷酸酯)即RDP和双酚A双(二苯基磷酸酯)(1),其常用的合成方法以RDP的合成为例,过量的三氯氧磷与间苯二酚在催化剂作用下反应生成间苯二酚二(二氯磷酸酯)中间体,减压蒸除三氯氧磷然后与干燥的苯酚反应,蒸去过量的苯酚,洗涤即可。目前国内还处在实验室开发阶段,主要问题是所得化合物初始热分解温度偏低。应用上在PPO/HIPS、PC/ABS、PBT中分别添加20% , 11%, 10%能达到较好的阻燃效果。
以前开发并广泛使用的有如磷酸三甲苯酯,磷酸三苯酯等这类磷酸酯阻燃剂等分子量小、挥发性大、耐热性较差,影响其阻燃持久性,研究的SK-R(2)阻燃增塑剂是一种混合型的芳香磷酸酯,具有低毒,低粘性,气味小等特点克服了磷酸三甲苯酯对人神经毒害较大,粘度高的缺点。
由于磷酸酯阻燃剂分子量相对较小,不耐迁移,为此由酚酞合成了一种分子量较大的磷酸酯阻燃剂(3),是一种黄色油状液体,耐迁移,在尼龙——6中加入10%的这种阻燃剂,氧指数可达25.6. 。
(2) 含氮磷酸酯阻燃剂
图(4)的化合物可以用哌嗪和(PhO)2P(O)C1在三乙胺存在下高产率制备,该化合物在306℃时仅失重5%,具有阻燃,耐热和耐水性能。
(4)
(3)含卤磷酸酯
含卤磷酸酯阻燃剂由于燃烧后卤素生成的腐蚀性气体、致癌物等原因,现在有关它们的报道要少的多。阻燃无卤化是大趋势。但因为其阻燃的高效性,价格低廉,仍受到人们的重视。如式(6)为日本Asahi公司开发,在催化剂作用下产率达99.8%。如式(7)用于聚丙烯阻燃特别有效。且由于溴化合物分子中有立体位阻作用,因此它的水解稳定性和热稳定性都很好。
1.1.2.2 膨胀型阻燃剂
膨胀型阻燃剂是以磷、氮为主要阻燃元素的阻燃剂,由酸源(脱水剂)、炭源(成炭剂)和气源(发泡剂)三部分组成。含有这类阻燃剂的高聚物受热分解或燃烧时,表面能生成一层均匀的多孔炭质泡沫层。该层隔热、隔氧,能防止高聚物分解产生的挥发性可燃物由凝聚相进入气相燃烧区,还有抑烟和防止产生熔滴的作用。膨胀型阻燃剂符合当今对材料抑烟、减毒的要求,是阻燃领域内的研究热点之一。
合成了一系列膨胀型阻燃剂,并研究了它们的阻燃性能,其中集酸源、炭源和气源于同一分子内的笼状磷酸酯具有十分优良的阻燃效果。对提高这类阻燃剂的热稳定性和阻燃效率以及阻燃机理人们也进行一些理论上的研究。
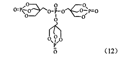
式(8)是开发的双环笼状膨胀型阻燃剂,它用于热固性化合物如不饱和聚酯、乙烯基酯及环氧树脂等,当添加量为20%—25%时,就能达到所需的阻燃效果。它不仅可以单独使用,而且也可以复配入含氮的化合物如三聚氰胺等,作为混合膨胀型阻燃剂的一个主要组分使用。式(11)是美国公司开发的一种膨胀型阻燃剂,可适用于PP,它在PP加工温度下稳定,不迁移,所得阻燃PP密度低(1.03g/cm3),且具有良好的电气性能。以30%的CN—329阻燃PP,材料的氧指数达34。阻燃级达到UL 94V – 0,而烟量与未阻燃PP不相上下。式(10)是美国化学品公司设计合成的,从其分子结构可见,这种膨胀型阻燃剂具有更丰富的碳源和酸源,改善了碳源及气源三者的比例,同时由于磷原子上的羟基受到两个庞大的笼型磷酸酯基的空间效应作用,也明显减少了其吸潮性。式(9)利用酯交换进行合成,产率较低,也具有较好的阻燃性能。
式(12)是首次合成,它具有高度对称性,高含磷量,初步研究其具有优异的热稳定性与成碳性,将成未一种高效的膨胀型阻燃剂。
综上,磷酸酯阻燃剂和膨胀型阻燃剂都是以磷为主要阻燃元素,利用协同效应设计开发的两大类有发展前景的阻燃剂,但其开发应用都还存在一定的问题,合成成本较低,高的热稳定性,与高分子材料匹配的阻燃剂是发展的大趋势。
1.1.3 阻燃材料
1.1.3.1 高聚物/无机物纳米复合阻燃材料
纳米技术是指在0.1~100nm尺度空间内,研究电子、原子和分子运动规律与特性的高新技术学科。纳米微粒尺寸小,比表面积大,表面原子数、表面能和表面张力随粒径减少而急剧增大,表现出小尺寸效应、表面效应、量子尺寸效应和宏观量子隧道效应等特点,从而使纳米粒子出现了许多不同于常规固体的新奇特性,展示了广阔的应用前景。
高聚物/无机物纳米复合材料与常规聚合物/无机物填料复合材料相比,在力学性能、粘结性能、透气性、加工性及阻燃性等方面都具有独特的优点。目前已经研究和开发了多种聚合物(PA、PP、PE、PMMA、PS、PBT、ABS、PC等)/无机物纳米复合材料。
在阻燃研究方面,1965年研究PMMA/陶土纳米复合材料时第一次发现其热性能明显提高。1976年,日本专利中第一次报道了纳米复合材料具有潜在的阻燃性能。系统地研究了纳米复合材料的阻燃性能,发现纳米复合材料的确是一种阻燃高聚物的好方法。一些学者认为聚合物/无机物纳米复合材料开辟了阻燃高分子的新途径,可能是当今阻燃剂研究的一个新的突破口。
1.1.3.2本质阻燃高聚物
本质阻燃高聚物指那些由于具有特殊的化学结构而使自身具有阻燃性的高聚物,它们不需要改性就具有耐高温、抗氧化、不易燃等特点。目前已工业化的高聚物中,主链芳族含量高、成炭率高、阻燃元素含量高的高聚物及某些含杂环的高聚物,如芳香族聚酰胺,聚砜及聚芳砜,聚苯硫醚,聚四氟乙烯、聚酰亚胺等,均具有十分优异的耐燃性和高温抗氧化性。它们氧指数高,能自熄,不需进行阻燃处理就可以满足多种场所的阻燃要求。
近年来,人们研制了一些新型的本质阻燃高聚物,如芳香族酰胺-酰亚胺聚合物,芳基乙炔聚合物在高温下裂解形成的炭层可在氧化环境下承受极高温度(1500~2000℃),有希望作为烧蚀材料用于火箭导弹系统和宇宙飞船的重返大气设备中。但在现阶段,此类化合物或者价格高昂,或者制造工艺复杂,其应用相当有限,但它们代表了阻燃高分子材料的一个发展方向。
1.1.3.2 阻燃高分子材料的设计与优化
通常,使材料具有阻燃性是以损失和恶化材料的其他一些性能为代价取得的。因此,不能过高追求高聚物的阻燃级别,而应在满足材料阻燃性能的前提下,使材料获得尽可能好的经济性能综合指标。为此,应当进行阻燃高分子材料设计和优化。随着计算机在化学学科的广泛应用和深入渗透,利用计算机软件建立高分子阻燃材料的配方优化设计系统,即建立高分子阻燃材料配方设计和研究的专家系统已成为阻燃材料领域的一个研究热点。
北京理工大学阻燃材料研究国家专业实验室开发的聚合物阻燃材料设计专家系统FRES2.0为阻燃材料的配方研究、开发与应用提供了方便有效的手段。该系统可以多因子、多目标获取性能优良的配方,为分析、研究复杂配方体系中各组分之间的相互作用,进而揭示阻燃机理,创造了极为有利的条件。
1.2 阻燃的必要性】
据世界主要国家今年火灾资料统计分析,火灾发生率及由火灾造成的损失仍呈现上升趋势,工业发达国家的火灾直接经济损失为国民生产总值的0.1%~0.2%,间接经济损失有时能达到国民生产总值的1% 。
统计数据表明,在20世纪下半叶的几十年里,推广应用阻燃材料在一些国家提高防火安全性方面已经取得了良好的效果。例如,20世纪60~70年代,英国电视机火灾次数一直上升,由1965年的819起上升至1974年的2356起。而采用阻燃材料制造电视机外壳以及某些零部件后吗,由电视机引起的火灾数量逐年减少,由1977年的2024起降至1993年的500起(虽然电视机的数量每年有增加)。美国由于家具阻燃及其他防火措施,1989年与1980比,火灾致死人数降低了42%,受伤人数降低至47%。就美国住宅火灾致死人数而论,1993年也仅为1978年的60%。大量实验和事实证明,阻燃材料的运用可有效减少火灾发生的概率,减缓火势的蔓延。
1987年美国国家标准局(NBS)(现在的美国国家技术和标准研究院,NITS)比较了应用较广的5种典型塑料制品的阻燃与未阻燃时的火灾危险性,实验结果如表1.1(以未阻燃试样为参照)。
结果表明,只要制备阻燃材料的配方和工艺合理,阻燃材料的火灾安全性在很多方面都优于同类的未阻燃材料,阻燃材料的运用可有效减少火灾发生的概率,减缓火势的蔓延。阻燃已经成为当代提高消防能力,确保人民生命和财产安全而发展起来的一门新兴科学技术。
总之,虽然对材料进行阻燃处理需要付出一定的代价,但是如果权衡由于阻燃而减少的火灾损失,“阻燃”显然是必需的选择。
1.3 阻燃机理概述
1.3.1 高聚物的燃烧过程
高聚物在空气中受热分解产生可燃物,当达到一定温度时,即可发生燃烧。高聚物的燃烧可分为热氧化降解和正常燃烧的两个过程。包括传热、高聚物在凝聚相的热氧化降解、分解产物在固相及气相中的扩散并与空气混合物形成氧化反应场以及气相中的链式燃烧反应等一系列环节。
高聚物热裂解产物的燃烧是按自由基链式反应进行的,包括链引发反应、链增长反应,链支化反应和链终止反应。利用各种物理或化学方法破坏燃烧过程链式反应中某以环节以设法阻止材料的热分解,抑制可燃气体的产生,就能达到阻燃高聚物的目的。
1.3.2 一般阻燃机理
材料的阻燃性,常通过气相阻燃、凝聚相阻燃及中断热交换阻燃等机理实现。抑制促进燃烧反应链增长的自由基而发挥阻燃功能的属气相阻燃。在固相中延缓或阻止高聚物热分解起阻燃作用的属凝聚相阻燃;将聚合物燃烧产生的部分热量带走而导致的阻燃,则属于中断热交换机理类的阻燃。但燃烧和阻燃都是十分复杂的过程,涉及很多影响和制约因素,将一种阻燃体系的阻燃机理严格划分为某一种是很难的,实际上很多阻燃体系同时以几种阻燃机理起作用。
一般来说,阻燃材料燃烧时,阻燃剂是在不同反应区内(气相,凝聚相)多方面起作用的。对不同材料,阻燃剂的作用也可能不一样,阻燃剂对燃烧反应的影响一般表现在以下几个方面:
(1) 在热作用下,凝聚相内的阻燃剂热分解,这个热分解过程是吸热的,从而使凝聚相内温度上升减慢,延缓了材料的热分解速度。
(2) 阻燃剂受热分解后,释出自由基抑制剂,使火焰链锁反应的支化过程中断,减缓气相反应速度。
(3) 催化凝聚相热分解固相产物——泡沫炭层的形成,这些层状硬壳可阻碍热传递,从而使凝聚相温度保持在较低水平,可燃性气态热分解产物生成速度下降。
(4) 在热作用下,阻燃剂出现吸热性相变,物理性地阻止凝聚相内温度升高。
(5) 阻燃剂受热分解后释出大量难燃气体,使空气中氧气和气态可燃性分解产物得到稀释,降低可燃气以及聚合物表面温度,使燃烧终止。
总之,材料的阻燃一般都是通过气相阻燃、凝聚相阻燃及中断热交换阻燃等机理实现的。
1.3.3 膨胀型阻燃剂阻燃机理
膨胀型阻燃剂主要是通过形成多孔泡沫炭层在凝聚相起阻燃作用。由于该泡沫炭层隔热,隔氧,并能阻止高聚物的分解产物向气相燃烧区域扩散,因而具有良好的阻燃作用。通常认为膨胀泡沫炭层的形成经历以下几步过程:
(1) 在较低温度(150℃左右,具体温度取决于酸源及其他组分的性质)下由酸源释放出可酯化多元醇且可作为脱水剂的无机酸。
(2) 在稍高于酸释放的温度下发生酯化反应,而体系中的胺可作为酯化反应的催化剂,加速酯化反应的进行。
(3) 体系在酯化前或酯化过程中熔化。
(4) 反应发生的水蒸汽和由气源产生的不燃性气体使熔融体系膨胀发泡。同时,多元醇和脱脂水炭化,形成无机物及残炭余物,体系进一步膨胀发泡。
(5) 反应接近完成时,体系胶化和固化,最后形成多孔泡沫炭层。
另外,膨胀型阻燃剂也可能具有气相阻燃作用,因为磷-氮-碳体系遇热会生成NO及NH3,而它们能使自由基化合,并冲稀可燃气体。另外,自由基也可能碰撞在组分泡沫体的微粒上而相互结合成稳定分子,致使链反应中断。
1.3.4 磷系阻燃剂的阻燃机理
很多磷系阻燃剂能同时在凝聚相及气相发挥阻燃效能,两种机理对阻燃的相对贡献则与阻燃剂、被阻燃高聚物的类别和火灾条件有关。
含有磷系阻燃剂的高聚物被引燃时,阻燃剂受热分解成含磷的含氧酸(或它们的聚合物),这些酸能催化含羟基化合物的脱水成炭,降低材料的质量损失速率,减少可燃物的生成量,而磷则大部分残留于炭中。含磷阻燃剂主要通过以下几个方面发挥阻燃作用。首先,在材料表面生成炭层,其氧指数高达60%,且难燃、隔热、隔氧,可使燃烧窒息;其次,焦炭层导热性差,使传递至基材的热量减少,基材分解速度减缓;第三,羟基化合物的脱水时吸热反应,且脱水生成的水蒸气又能稀释氧及可燃气体的浓度;最后,磷的含氧酸多是粘稠状的半固态物质,可在材料表面形成一层覆盖于焦炭层的液膜,这可降低焦炭层的透气性和保护焦炭层不被继续氧化。
有机磷系阻燃剂热分解所形成的气态产物中含有PO,它可消耗H和OH,在气相抑制燃烧的链式反应。以质谱分析经三苯基氧化膦处理的聚合物的热分解产物,证实了PO的存在。
1.3.5 协同效应
协同效应即阻燃系统中含有两种以上的阻燃元素或阻燃剂,其阻燃作用优于单一组分所测定的阻燃作用之和。事实上,每种阻燃剂都有其固有的优缺点,应根据聚合物的结构和产品的用途综合考虑,利用协效作用选择和设计复配阻燃剂。协效系统包括卤-锑、卤-磷、磷-氮、卤-氮等。众所周知的例子是Sb2O3本身不具有阻燃性,但当它与有机卤阻燃剂并用时,却可大大提高后者的阻燃效率。1930年,人们发现卤系阻燃剂(如氯化石蜡)与氧化锑的协同阻燃效应,该成果被誉为阻燃技术一个划时代的里碑程,它奠定了现代阻燃化学的基础。关于该协效作用的机理目前还不是很清楚,通常认为是由卤素阻燃剂在聚合物热裂解过程中,释出HX,后者又与Sb2O3生成挥发性的锑卤化物SbX3及不挥发的SbOX,从而在凝聚相和气相发挥作用。不同类别和化学结构不同的卤系阻燃剂,当它们与氧化锑协同用于阻燃时,使材料阻燃性能较佳的适应的Sb/X比是不同的阻燃效率。一般来说,脂肪族溴与Sb2O3的协效作用较芳香族溴为佳。
研究证明磷、溴并用可以减少阻燃剂的总用量,后来进一步研究证明磷和溴二者处于同一分子中比不在同一分子中具有更好的阻燃效果。通常认为,磷在凝聚相抑制了裂解反应,卤素在气相抑制了燃烧,二者并用,提高了阻燃效果。
氮元素则是膨胀型阻燃剂的主要组成部分,与磷也有较好的协同阻燃性。氮层的存在,有利于磷系阻燃剂分解成聚磷酸,聚磷酸形成的粘流层有绝缘、隔绝空气的效果;含氮组分和磷酸组分,在火焰中吹涨作用,可使塑料膨化形成焦炭层;氮和磷形成磷酸铵,生成P-N键抑制了易燃物的形成。
1.4 阻燃科学发展最新进展及趋势
近年来随着人们对环保意识的增强,出现了“绿色”浪潮,绿色产品应运而生。所谓绿色产品是在优化自然资源利用前提下,整个生成过程不对人类健康和环境造成有害的影响,产品可多次循环使用。“绿色”产品浪潮是对阻燃科学的挑战,如何适应21世纪的可持续发展战略,应对这个挑战,从近几年阻燃科学相关的文献和专利中,我们可以看到阻燃材料的一些最新进展和发展动向。
1. 尽可能少用对人类健康和环境产生有害影响的阻燃剂二噁英事件使得十溴二苯醚、多卤代联苯等阻燃剂的使用将逐渐被取代。
2. 填料型阻燃剂引起人们更大注意 ATH和Mg(OH)2的应用更加受到人们的重视,研究表明由超细化阻燃剂通过特殊技术制成纳米阻燃材料,可大大的提高其各种性能,如超细化的Sb2O3 ATH Mg(OH)2 。这是阻燃材料的一个发展方向。
3. 天然矿物或合成的无机化合物用作阻燃剂的辅助剂,天然产出的黏土代替分子筛用于膨胀阻燃体系中,可提高阻燃性,如蒙脱土和伊利土具有较好的效果。
4. 硅化合物既是阻燃的助剂,又是热释放的抑制剂,添加由有机硅化合物的阻燃材料,回收焚化过程中不会产生对环境有害的影响,因而有人把它称为“环境友好的阻燃剂“ 。
5. 含氮化合物阻燃剂发展迅速,含氮化合物阻燃剂由于它对环境的污染作用较小,阻燃效能好,受到人们的青睐。如无机的聚磷酸铵,有机的双氰胺,蜜胺,蜜胺氰尿酸盐。
6. 走绿色道路,发展膨胀型阻燃体系,国际上阻燃专家把膨胀型阻燃体系的采用称为阻燃材料中的一次革命。膨胀型阻燃体系利用在材料表面上积炭作用,保护了聚合物材料的进一步燃烧,从而限制了热量释放速度,使烟量,毒性气体量及腐蚀气体量减到最小程度。但一般含磷量低导致添加量大。
1.5 选题依据和研究内容
1.5.1 选题依据
在国内外无卤阻燃材料是未来阻燃领域发展趋势的这个框架下,针对国内外在无卤阻燃这个领域刚刚起步的现实和目前存在的局限,立足于解决工程塑料无卤阻燃的实际问题,提出采取来源广泛的原材料,开发具有优良热稳定性、高磷含量、分子量较大的高效无卤磷系阻燃剂,主要致力于它们的结构和性能关系、进行热稳定性评价,而且,初步对环氧树脂的阻燃性能和阻燃机理进行评价。将为丰富无卤阻燃剂体系和种类,为无卤阻燃材料的发展做出一定的贡献。总体水平可望达到国际先进或领先水平。
对于工程塑料的主要应用领域,阻燃级别一般要求达到UL 94 V – 0级,所以这些工程塑料都需要进一步阻燃处理。
其中工程塑料的无卤阻燃已经成为当前和未来阻燃领域研究的热点,研究设计和合成耐热、固体粉末状、高效阻燃性能的阻燃剂是热点中之热点。
目前用于工程塑料的阻燃剂还是以溴系阻燃剂为主。有机磷系阻燃剂是与溴系阻燃剂同等重要的有机阻燃剂。有机磷系阻燃剂包括磷酸酯、膦酸酯、亚磷酸酯、有机磷盐、氧化膦等,有机磷系阻燃剂的主要缺点是耐热性较差,挥发性较大,恶化塑料的热变形温度。开发磷含量高、分子量大、热稳定性好的磷系化合物是有机磷系阻燃剂发展的一个趋势。目前耐热磷系阻燃剂主要是以RDP和BDP为代表的产品,它们之所以热稳定性好是因为属于芳香型磷酸酯,但是它们仍存在两个缺点:一是粘稠液体,不利于混料加工,而且,塑化材料,降低热变形温度;二是磷含量较低,仅有10%左右,达到应有的阻燃效果时添加量较高。所以,研究开发新型的耐热、含磷量高的固体粉末状的无卤磷酸酯,是该研究领域的研究重点之一。
高磷含量耐热磷酸酯之所以热稳定性好是因为分子中含有热稳定性好的芳香环和刚性的桥环,磷含量高是因刚性桥环是以磷为桥头的双环基团。目前含有刚性桥环类磷系阻燃剂只有少量的见文献报道,主要是含以磷为桥头的双环基团的磷酸三酯、磷酸二酯的三聚氰胺盐等,这类化合物因结构的局限性与高分子材料的相容性能不十分理想。为此,利用有机化合物结构的可调性,本文提出在含有以磷为桥头的双环基团的磷酸酯的结构中引入与工程塑料相容性较好的芳香基团,这种调整不仅能保证所设计的磷酸酯仍含有较高的磷,同时还能保证磷酸酯的热稳定性能,关于这类新型无卤耐热且含磷量高的磷酸酯的合成研究,未见国内外报导。
本文提出,首先以三氯氧磷和季戊四醇为原料(摩尔比为1/1)合成以磷为桥头的双环化合物醇——1-氧代-4-羟甲基-1-磷杂-2,6,7-三氧杂双环【2.2.2】辛烷【PEPA】,再以三氯氧磷、PEPA、二元酚、双酚A、双酚S、芳香二元胺等可调的芳香化合物为原料设计合成新型的耐热高磷含量的磷酸酯。以期用于制备阻燃工程塑料PC、PC/ABS、PA等。
1.5.2 研究内容
(1) 首先以三氯氰胺和季戊四醇为原料(摩尔比1/1)合成以磷为桥头的双环化合物醇——1-氧代-4-羟甲基-1-磷杂-2,6,7-三氧杂双环【2.2.2】辛烷【PEPA】,再以三氯氧磷、PEPA、二元酚、双酚A、双酚S、芳香二元胺等可调的芳香化合物为原料设计合成新型高磷含量的磷酸酯,采用元素分析,FT – IR 、1HNMR和MS等技术表征了它们的结构。由于分子结构中含有稳定性能非常好的刚性结构和芳香基团,加上较对称的分子结构,所合成的化合物应当是固体的且热稳定性能非常好的化合物。所设计的新型阻燃剂化合物还未见文献报道。
(2) 采用热分析(TG)等技术探讨所合成化合物的热稳定性能,得到化合物的初始分解温度等一些热性能参数。
(3) 采用(1)的合成路线,虽然可以合成比较纯净的目标化合物,但是二(1-氧代 -1-磷杂-2,6,7-三氧杂双环【2.2.2】辛烷-4-亚甲氧基)磷酸氯易水解,造成收率较低,特别是工业生产需要解决的问题更多。为此,探讨先以间苯二酚等与过量的三氯氧磷反应得到间苯二酚双磷酰二氯,然后在碱的作用下,用PEPA封端合成目标化合物,希望大幅度提高收率,探讨更适合开发应用的合成方法。同样采用FT – IR、1HNMR、TG-DTA等表征化合物的结构和热稳定性能。比较两种合成方法所得到化合物的差别。
选用实验合成的三个左右的化合物,初步探讨其阻燃环氧树脂的阻燃性能。采用UL 94V实验结果评价阻燃环氧树脂的阻燃性能;采用TG热分析和阻燃试样在不同温度下残余物红外分析,结合高温残碳组分的XPS分析,初步探讨阻燃剂对阻燃环氧树脂的阻燃机