
摘要: 采用硅钨酸为催化剂,在甲醛反应介质中由三聚氰胺与聚磷酸反应制得三聚氰胺聚磷酸盐,用元素分析、IR、XRD、TG与DSC等对其进行了分析和表征,并对其阻燃性能进行了评价、从热分析可知,当温度升至684.8℃时,其热损失残余量为43.52%;在653.5℃时有1明显吸热峰,吸热量为629.1 J/g。涂覆含三聚氰胺磷酸盐的防火涂料的5层板在模拟实际火灾发生情况下,耐火极限为16 min,涂料发泡倍数为50~60倍。
关键词: 三聚氰啊聚磷酸盐;阻燃剂;合成
目前,国内常见的阻燃剂大多是含卤阻燃剂或由聚磷酸盐、多元醇及含氮化合物等组成的混合阻燃剂。含卤阻燃剂具有发烟量大、毒性大的缺点,其应用受一定限制;而混合型阻燃剂用量多,热稳定性较差,水溶性好,耐老性差,对基材有可能产生腐蚀作用。新型三聚氰胺聚磷酸盐自膨胀阻燃剂具有无卤、低烟、低毒;与被处理的涂料能够很好地相容,且对其性能影响很少;受热可分解放出水和三聚氰胺起阻火作用,并可发生P-N协同阻燃效应,能生成均匀致密的炭质层,具有良好的隔热、隔氧、阻燃和抑烟作用,并可有效阻止滴落现象,制止火焰的传播和蔓延。但在该化合物以往的合成方法中由于热解反应不均,产生局部过热而使得产物反应程度不一致,最终得到的是三聚氰胺聚磷酸盐,双三聚氰胺焦磷酸盐,三聚氰胺磷酸盐等的混合物。本文在甲醇反应介质中采用硅钨酸为催化剂,由三聚氰胺与聚磷酸反应可制得较纯的三聚氰胺聚磷酸盐(简称MPOP)自膨胀阻燃剂,用元素分析,IR、XRD、TG与DSC等对其进行了分析和表征,并对其阻燃性能进行了评价。
1 实验部分
1.1 仪器和试剂
三聚氰胺 : C3 H6 N6,化学纯,含量不少于98.5%;多聚磷酸: H6 P4 O13,化学纯,含 P2 O5 的量不少于80%;硅钨酸;甲醇:分析纯 。
岛津TG-50H型热重分析仪和DSC-50H型差热分析仪,升温速度10℃/min , 空气流速45 Ml/min ; Pcrkin- Elmer 240 C型元素分析仪;NICOLET 200SXV型FT- IR光谱仪;HG-2型氧指数测定仪;大板燃烧试验装置;D5000型X射线粉末衍射仪,采用Cu /石墨单色器,40 Kv, 40MA , DS/SS 10 , RS 0.3mm 。
1.2 合成方法
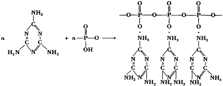
在烧瓶中加入2500 g甲醇,搅拌下加入385 g三聚氰胺,溶解后再加入423 g聚磷酸,在80℃搅拌反应4 h ,加入15 g硅钨酸,保持80℃再反应12 h ,过滤过滤,在90℃真空干燥12 h ,,得目标产物MPOP,产率94.5%,m p 296 ~ 310℃。由于使用了硅钨酸为反应催化剂,并采用甲醇作反应介质,因此反应过程中无结块现象,反应温度易于控制,不发生局部过热现象,产物较纯。
其通式为(HM PO3)n,式中M表示三聚氰胺(n ≥ 2)。
2 结果与讨论
2.1 元素分析和FT – IR 表征
产物MPOP的元素分析实测值(计算值)/ %: C 18.73 (17.5) , N 40.71 (40.8) , H 3.01 (3.4) , P 12.98 (15.0) , O 24.57 (23.3)。可见产物中的含磷量接近于三聚氰胺聚磷酸盐中的理论含磷量。因此,采用本方法可得到较纯的三聚氰胺聚磷酸盐。
MPOP红外光谱表明,其特征峰有:475、505、710、740、1 069、1 390、1 681和3 118cm -1其中,MPOP中是以焦磷酸及其胺盐的形式存在的。上述特征峰与三聚氰胺聚磷酸盐文献值一致。
2.2 X射线粉末衍射图分析
该化合物的X射线粉末衍射图尚未见文献报道。从图2可知,MPOP的特征衍射峰峰形尖而窄,基线低而平稳,表明它是具有较高的结晶度的晶体结构,晶型为斜方晶系。由布拉格公式可计算出晶体晶胞大小为15.3 nm。在20为26.91°时,峰强度最大。
2.3 热分析
MPOP的热失重分析(TGA)和DSC分析结果分别如图3和图4所示。
从TGA曲线可以看出,386.5 ~ 480.0℃三聚氰胺聚磷酸盐分解,主要分解产物是三聚氰胺与聚磷酸,并有水蒸汽、氨气等不燃性气体放出;从480.0℃到540.0℃是又一个迅速失重阶段,分解产生的三聚氰胺和聚磷酸经过自聚形成高分子量的含 P-N-O 浓缩聚合物,三聚氰胺进一步分解出不燃性气体:
然后持续失重至684.8℃,因 P-N-O 聚合物中含有 P —O—P或 P—N 键具有磷酸化试剂的特性,可催化多种高聚物特别是含氧官能团的聚合物成炭,并释放出水蒸汽、氨气、NO2、CO2 等不燃性气体,所表现的化学反应类似于磷酸化的形成和分解反应,与常见的聚磷酸铵、季戊四醇体系热反应过程相同;继续升温至780℃,无进一步失重现象,此时残余量是 43.52%,残余的产物是稳定性非常高的不挥发性高聚物 (PNO)X 。从DSC图谱上可知,三聚氰胺聚磷酸盐从受热开始就持续吸热,至 653.5℃ 有1明显的吸热峰,吸收热量达629.1 J/g 。
2.4 溶剂度
三聚氰胺聚磷酸盐是一种白色粉末状固体,它在水中的溶解度较低,而且在有机溶剂中的溶解度也非常低。它在20、40、60、80和100℃下,水中的溶解度分别为:0.05、0.12、0.17、0.26和0.70g/L,且在水中表现为稳定的水溶性平衡。
2.5 阻燃性能
将MPOP、季戊四醇、双氰胺、纤维素、颜料、582树脂等成分混合碾磨制成防火涂料,并采用大板燃烧法测定其防火性能,涂料燃烧后形成的炭质层较致密、均匀,形成的发泡层较高,中间最高处炭质层有5 ~ 6 cm厚,膨胀发泡倍数为50 ~ 60倍。涂覆防火涂料的5层板一面受火时,受火面与背火面升温情况如图5 。
在升温16 min后,受火面温度达600℃,而背火面温度达220℃。然后急剧上升,表明5层板已被火焰烧穿孔。因此涂覆该防火涂料的5层板在模拟实际火灾情况下(按模拟火灾情况升温),直到16 min以后下着火燃烧,即耐火极限为16 min 。
这是由于三聚氰胺聚磷酸盐同时含有三聚氰胺组份与聚磷酸成份,在涂料体系中首先分解而游离出氨气与聚磷酸,受膨胀炭层的屏蔽作用,受热端面的熔体和膨胀层内的温度均较低,试样受热分解产生的氨与积聚在膨胀炭层中的聚磷酸作用会生成相应的焦磷酸盐、聚磷酸盐,且炭层中积聚的聚磷酸有利于焦化物的进一步炭化,积聚在熔体表面的含磷化合物可生成含水、磷的氧化物(包括磷酸和可能存在的多聚磷酸等),并生成了大量不燃性气体有效阻止燃烧。并使已经处于熔融状态的体系膨胀发泡;与此同时有机化合物脱水炭化,形成无机物及炭化残余物,且体系进一步膨胀发泡。反应接近完成时,体系胶化和固化,最后形成多孔泡沫炭层阻燃燃烧。MPOP在膨胀涂料中起着催化剂和发泡剂的双重作用,在体系中 P — N 成分可产生协同阻燃效应,而比单独使用时效果更好,用量更少。